31. सरकार के डिजिटल क्रांति प्रयासों के संबंध में ‘JAM’ के तीन तत्व हैं
(A) जनता, आवास, मनी
(B) जीवन, आधार, मुद्रा
(C) जन धन, आधार, मोबाइल
(D) जन धन, आधार, मनी
Show Answer/Hide
32. नाबार्ड की स्थापना किस समिति की सिफारिशों पर की गई थी ? नाबार्ड की स्थापना RBI द्वारा गठित Committee to Review Arrangements for Institutional Credit for Agriculture and Rural Development (CRAFICARD) की सिफ़ारिशों पर की गई, जिसकी अध्यक्षता बी. शिवरमन ने की थी; इसे प्रायः शिवरामन समिति कहा जाता है। इस समिति ने कृषि एवं ग्रामीण क्षेत्र के दीर्घकालिक संस्थागत ऋण के लिए एक पृथक शीर्ष संस्था की अनुशंसा की, जिसके आधार पर 1982 में NABARD की स्थापना हुई।
(A) शिवरामन समिति
(B) मल्होत्रा समिति
(C) कुमारमंगलम समिति
(D) स्वामीनाथन समिति
Show Answer/Hide
33. निम्नलिखित में से किस संस्था ने किसान क्रेडिट कार्ड योजना का मॉडल तैयार किया ? किसान क्रेडिट कार्ड (KCC) योजना के लिए मूल मॉडल NABARD ने तैयार किया था, बाद में इसे बैंकों के माध्यम से लागू किया गया। इस मॉडल का उद्देश्य किसानों को कार्यशील पूँजी/फसल ऋण के लिए सरल, लचीला एवं चक्रीय ऋण साधन प्रदान करना था।
(A) नाबार्ड
(B) आई.आर.डी.ए.
(C) एस.बी.आई.
(D) सेबी
Show Answer/Hide
34. वर्ल्ड वाइड वेब (WWW) का आविष्कार किसने किया ? वर्ल्ड वाइड वेब (WWW) का आविष्कार ब्रिटिश वैज्ञानिक टिम बर्नर्स–ली ने 1989–90 के आसपास CERN में कार्य करते हुए किया। इन्होंने ही HTTP, HTML और वेब ब्राउज़र के शुरुआती स्वरूप विकसित कर वेब आधारित आधुनिक इंटरनेट की नींव रखी।
(A) अल्बर्ट मैस्लो
(B) बिल गेट्स
(C) टिम बर्नर्स – ली
(D) चार्ल्स बैबेज
Show Answer/Hide
35. भारत में किसी भी कृषि वस्तु का न्यूनतम समर्थन मूल्य किसके द्वारा संस्तुत किया जाता है ? भारत में विभिन्न कृषि फसलों के न्यूनतम समर्थन मूल्य (MSP) की सिफ़ारिश Commission for Agricultural Costs and Prices (CACP) करता है। सरकार अंतिम निर्णय लेती है, लेकिन लागत, उत्पादकता, बाजार भाव आदि का विश्लेषण कर MSP की अनुशंसा करना CACP का कार्य है; न FCI, न NAFED और न ही कमोडिटी बोर्ड MSP तय करते हैं।
(A) भारतीय खाद्य निगम
(B) कृषि लागत एवं मूल्य आयोग
(C) नाफेड (NAFED)
(D) कमोडिटी बोर्ड
Show Answer/Hide
36. आँकड़ों के सममित वितरण में कौन – सा युग्म सही है ? यदि वितरण पूर्णतः सममित हो (विशेषकर सामान्य वितरण जैसे मामलों में), तो केन्द्रीय प्रवृत्ति के तीनों माप – माध्य (Mean), माध्यिका (Median) और बहुलक (Mode) एक-दूसरे के बराबर होते हैं। असममित (skewed) वितरण में ही स्थितियाँ माध्य > माध्यिका > बहुलक या माध्य < माध्यिका < बहुलक जैसी बनती हैं; अतः सममित वितरण के लिए सही युग्म माध्य = माध्यिका = बहुलक है।
(A) माध्य = माध्यिका = बहुलक
(B) माध्य > माध्यिका > बहुलक
(C) माध्य < माध्यिका < बहुलक
(D) माध्य = माध्यिका > बहुलक
Show Answer/Hide
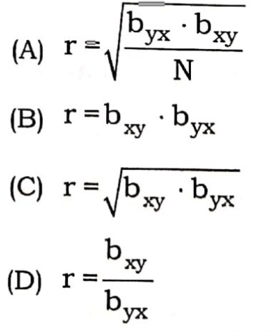
37. निम्नलिखित में से कौन – सा सहसम्बन्ध के सही सूत्र को दर्शाता हैं ?

Show Answer/Hide
38. सूची-I को सूची -II से सुमेलित करें एवं नीचे दिये गए कूट में से सही उत्तर का चयन करें ।
| सूची-I | सूची-II |
| a. एस. डी. जी. – 4 | 1. गुणवत्तापूर्ण शिक्षा |
| b. एस. डी. जी. – 5 | 2. लैंगिक समानता |
| c. एस. डी. जी. – 10 | 3. अमानता कम करना |
| d. एस. डी. जी. – 8 | 4. बेहतर कार्य तथा आर्थिक विका |
कूट :
a b c d
(A) 1 2 4 3
(B) 1 2 3 4
(C) 2 1 4 3
(D) 2 3 1 4
Show Answer/Hide
39. इंटरनेट सर्फिंग के संदर्भ में, URL का पूरा नाम क्या है ? इंटरनेट पर किसी वेब पेज, फाइल या संसाधन के पते को URL कहते हैं, जिसका पूरा नाम Uniform Resource Locator है। यह स्कीम (जैसे http, https, ftp) तथा डोमेन/पथ को मिलाकर किसी संसाधन के स्थान को अद्वितीय रूप से निर्धारित करता है; अन्य विकल्प मानक परिभाषा नहीं हैं।
(A) यूनिफ़ॉर्म रिसोर्स लोकेटर
(B) यूनिवर्सल रिसोर्स लोकेटर
(C) यूनिफाईड रिसोर्स लोकेटर
(D) यूनिवर्सिटी रिसोर्स लोकेटर
Show Answer/Hide
40. भारत में पहला “सार्वजनिक क्षेत्र विनिवेश आयोग” कब स्थापित किया गया था ?
(A) 1991
(B) 1996
(C) 2006
(D) 2015
Show Answer/Hide
